Skip to contents

Visualizes retention time correction by plotting the difference between adjusted and raw retention times across samples. This is a ggplot2 implementation of xcms's xcms::plotAdjustedRtime() function, enabling modern visualization and interactive plotting capabilities.

Usage

gplotAdjustedRtime(
  object,
  color_by,
  include_columns = NULL,
  adjustedRtime = TRUE
)

# S4 method for class 'XCMSnExp'
gplotAdjustedRtime(
  object,
  color_by,
  include_columns = NULL,
  adjustedRtime = TRUE
)

# S4 method for class 'XcmsExperiment'
gplotAdjustedRtime(
  object,
  color_by,
  include_columns = NULL,
  adjustedRtime = TRUE
)

Arguments

object

An XCMSnExp or XcmsExperiment object with retention time adjustment results.

color_by

Column name from sample metadata to use for coloring lines. This should be provided as an unquoted column name (e.g., sample_group). For XCMSnExp objects, this comes from pData(object), for XcmsExperiment objects from sampleData(object).

include_columns

character vector of column names from sample metadata to include in the tooltip text. If NULL (default), all columns are included.

adjustedRtime

logical(1), whether to use adjusted retention times on the x-axis. Default is TRUE.

Value

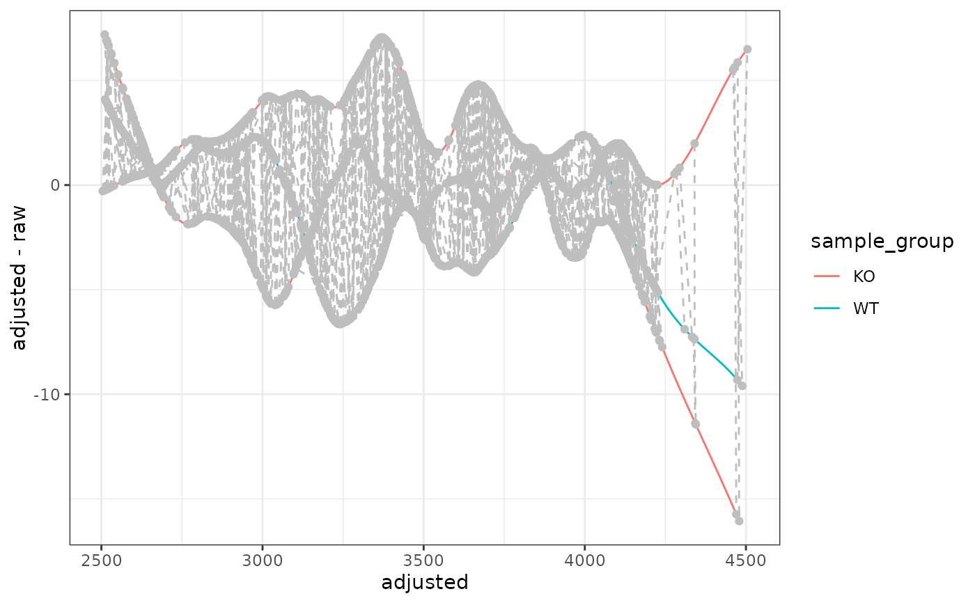
A ggplot object showing retention time adjustment. Each line represents one sample, and grey points/lines show the peak groups used for alignment (when using PeakGroupsParam).

Details

The function:

  • Plots adjusted RT vs. the difference (adjusted RT - raw RT)

  • Shows one line per sample colored by the specified variable

  • Overlays peak groups used for alignment (grey circles and dashed lines)

  • Includes tooltip-ready text for interactive plotting with plotly

The grey circles represent individual peaks that were used for alignment, and the grey dashed lines connect peaks from the same feature across samples.

See also

xcms::plotAdjustedRtime() for the original xcms implementation

Author

Jan Stanstrup

Examples

library(xcmsVis)
library(xcms)
library(faahKO)
library(MsExperiment)
library(BiocParallel)

# Load example data
cdf_files <- dir(system.file("cdf", package = "faahKO"),
                 recursive = TRUE, full.names = TRUE)[1:3]

# Create XcmsExperiment and perform basic workflow
xdata <- readMsExperiment(spectraFiles = cdf_files, BPPARAM = SerialParam())
sampleData(xdata)$sample_group <- c("KO", "KO", "WT")

# Peak detection
cwp <- CentWaveParam(peakwidth = c(20, 80), ppm = 25)
xdata <- findChromPeaks(xdata, param = cwp, BPPARAM = SerialParam())

# Peak grouping
pdp <- PeakDensityParam(sampleGroups = c("KO", "KO", "WT"),
                        minFraction = 0.4, bw = 30)
xdata <- groupChromPeaks(xdata, param = pdp)

# Retention time adjustment
pgp <- PeakGroupsParam(minFraction = 0.4)
xdata <- adjustRtime(xdata, param = pgp)
#> Performing retention time alignment using 882 anchor peaks.

# Create plot
p <- gplotAdjustedRtime(xdata, color_by = sample_group)
print(p)